Advertisement

Reflection Paper Outline - How To Write A Reflection Paper Examples And Format - By including each of these vital components into your reflective essay introductory paragraph, you will have your readers at the.

Reflection Paper Outline - How To Write A Reflection Paper Examples And Format - By including each of these vital components into your reflective essay introductory paragraph, you will have your readers at the.. 2) blueprint example 1 —+ becomes the topic sentence of body paragraph 1 topic sentence: In relation to coursework, one major reason why students write reflection papers is to demonstrate their understanding of specific works of art. Articulate learning use your responses to the prompts above in both the describe and examine sections of this reflection template to create a thoughtful essay wherein you articulate what you have learned from The 'past experience' and 'description' should constitute less than 10% of your essay. However, we recommend to write it for some.

Reflective essay outline\u000b(to save a copy for yourself choose file>download as or file>make a copy. It is a type of writing in which an essay writer uses the mla format or apa style. You will set the theme and tone of the reflection essay if you follow. In apa style, you should consider a few points: 014 apa style essay example format paper writing sample pdf cover.

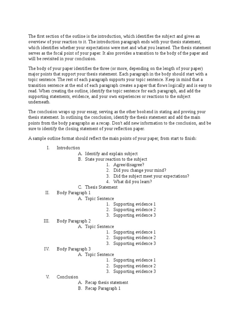
Reflection Paper By Michelle Minor
Reflection Paper By Michelle Minor from media-temporary.preziusercontent.com
Essay writing proper rmat example lexu tk r scholarship apa. Give your reflection paper structure with an opening paragraph, main body, and conclusion. Your introduction should consist of: When creating the outline of your reflective paper example, keep it organized. It may be about a thought, a past experience, new learning, and entirely a lot more of personal experiences where inspiration can be drawn from. The 'past experience' and 'description' should constitute less than 10% of your essay. It is a type of writing in which an essay writer uses the mla format or apa style. A reflective essay outline is a layout of one's thoughts and ideas in regard to a specific item.

In doing this, you make the writing process much easier.

The introduction paragraph ends with your thesis statement, which identifies whether your expectations were met and what you learned. It deals with the perspective of an individual about growth and development. An outline of a great reflective essay is laid out for your use below. This is what kicks off the introductory paragraph. Verify whether or not your instructor specified a word count for the paper instead of merely following this average. For the basic paper formatting for reflection paper: Reflection paper outline example the first section of the outline is the introduction, which identifies the subject and gives an overview of your reaction to it. When it comes to defining a reflection essay, it is best explained as a piece of writing that describes firsthand experiences and events that you have seen. Keep it short and sweet. 1) express the main idea in a thesis statement, develop it in body paragraphs by providing supportive arguments, and conclude facts by supporting the thesis statement once more. It may be about a thought, a past experience, new learning, and entirely a lot more of personal experiences where inspiration can be drawn from. Q identify the focus of your reflection (e.g., your experience, a specific situation or story, an overview of a collection of experiences) q identify theories or course material that will help you to explore your experience more deeply It is a way for a writer to share an important event in his/her life and how it affected him/her so that others may learn something from it.

You will set the theme and tone of the reflection essay if you follow. For example, if the essay is about racism, you should talk about how the subject impacts your feelings as an individual. This type of writing revolves around a specific response to a topic in the form of a personal reflection. It is often difficult to come up with a succinct definition of what morality is comprised of. The introduction paragraph ends with your thesis statement, which identifies whether your expectations were met and what you learned.

Reflective Essay Outline Format Tips Examples
Reflective Essay Outline Format Tips Examples from www.collegeessay.org
A reflective essay is a written piece of literature that focuses on presenting and narrating a person's experience and how it becomes an instrument towards a change of perception in life. When it comes to defining a reflection essay, it is best explained as a piece of writing that describes firsthand experiences and events that you have seen. If your instructor demands a word count outside of this range, meet your instructor's requirements. Page size should be white with size of 8 ½ by 11. 2) blueprint example 1 —+ becomes the topic sentence of body paragraph 1 topic sentence: Collection of free appendices clipart reflection paper download on. You will set the theme and tone of the reflection essay if you follow. The opening paragraph may be brief, only a sentence or two, but it should offer some overall statement

Page size should be white with size of 8 ½ by 11.

It may be about a thought, a past experience, new learning, and entirely a lot more of personal experiences where inspiration can be drawn from. Font should be arial or times new roman. 1) express the main idea in a thesis statement, develop it in body paragraphs by providing supportive arguments, and conclude facts by supporting the thesis statement once more. Here is a video with detailed structure of an outline for your reflection essay which many students avoid writing. A reflective essay is a written piece of literature that focuses on presenting and narrating a person's experience and how it becomes an instrument towards a change of perception in life. The introduction paragraph ends with your thesis statement, which identifies whether your expectations were met and what you learned. For the basic paper formatting for reflection paper: However, we recommend to write it for some. 12 13 reflection essay outline jadegardenwi com. Reflection paper writing can be hard, that's why created this presentation to show you how to write it, how to make outline, what format to choose and what is the best template for reflection. Reflective essay outline\u000b(to save a copy for yourself choose file>download as or file>make a copy. Articulate learning use your responses to the prompts above in both the describe and examine sections of this reflection template to create a thoughtful essay wherein you articulate what you have learned from Most of the times instructors ask for double spaced paragraphing.

Developing a reasonable outline is a key step during the planning process of any reflection paper. Reflective essay outline\u000b(to save a copy for yourself choose file>download as or file>make a copy. Font should be arial or times new roman. Your introduction should consist of: Following this structure will allow the paper to flow in a sensical manner.

How To Write A Reflection Paper Tuko Co Ke
How To Write A Reflection Paper Tuko Co Ke from netstorage-tuko.akamaized.net
Reflection paper outline peculiarities so, from the information provided above you already know how a reflection paper outline should look. Reflection paper outline example the first section of the outline is the introduction, which identifies the subject and gives an overview of your reaction to it. Since a quality reflection paper cannot suffice without an outline: In doing this, you make the writing process much easier. It deals with the perspective of an individual about growth and development. The opening paragraph may be brief, only a sentence or two, but it should offer some overall statement Your first paragraph should be an introduction in which you identify the subject and give the reader a general overview of the impression it made on you. Grab the reader's attention in a short preview of what you'll be writing about.

Here is a video with detailed structure of an outline for your reflection essay which many students avoid writing.

A reflective essay is a written piece of literature that focuses on presenting and narrating a person's experience and how it becomes an instrument towards a change of perception in life. It is a type of writing in which an essay writer uses the mla format or apa style. Reflection paper outline example the first section of the outline is the introduction, which identifies the subject and gives an overview of your reaction to it. 1) express the main idea in a thesis statement, develop it in body paragraphs by providing supportive arguments, and conclude facts by supporting the thesis statement once more. Large size of essay template fantastic example reflective for. Grab the reader's attention in a short preview of what you'll be writing about. Developing a reasonable outline is a key step during the planning process of any reflection paper. Font size should be 12 points. For the basic paper formatting for reflection paper: Reflection paper outline peculiarities so, from the information provided above you already know how a reflection paper outline should look. Your first paragraph should be an introduction in which you identify the subject and give the reader a general overview of the impression it made on you. Following this structure will allow the paper to flow in a sensical manner. The introduction paragraph ends with your thesis statement, which identifies whether your expectations were met and what you learned.

Posting Komentar

0 Komentar